海南尖峰岭森林生态系统国家野外科学观测研究站
新闻公告
尖峰峰生态站在Nature发文系统揭示全球树木多样性维持机制
作者: 尖峰岭站 更新时间: 2026-04-09

  

  北京时间2026年4月8日23时,尖峰岭生态站联合中山大学等单位在《自然》(Nature)杂志发表论文——The importance of competition and facilitation for global tree diversity(竞争与促进对全球树木多样性的重要性),首次在全球尺度上系统揭示了物种邻体相互作用对生物多样性的重要性。

 

图1 海南尖峰岭大样地建立前考察(右1:许涵)

  尖峰岭生态站许涵研究员为论文的第一作者和共同通讯作者,美国普林斯顿大学和史密森热带研究所Matteo Detto为论文共同第一作者,中山大学方素琴副教授为论文最后共同通讯作者。还有其他31名共同作者,分别来自全球29个单位。

图2 全球17个森林大样地分布


  生态学家一直非常关注热带森林极其丰富的物种如何稳定共存,从而形成高物种多样性的群落。许多假说被陆续提出用于解释物种多样性的纬度梯度变化规律,例如特化天敌假说、物种分布范围的地理限制、空间环境异质性、气候稳定性假说、竞争限制假说、以及生产力—捕食关系中的物种相互作用等。但是这些假说由于缺乏一致的理论解释仍存在争议,通过局域过程(例如邻体竞争或促进作用的相对变化)来研究物种多样性的纬度梯度格局可以为解决这个悬而未决的问题提供有效途径。


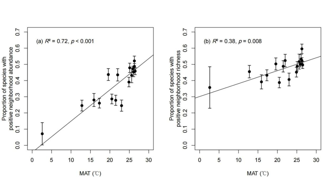
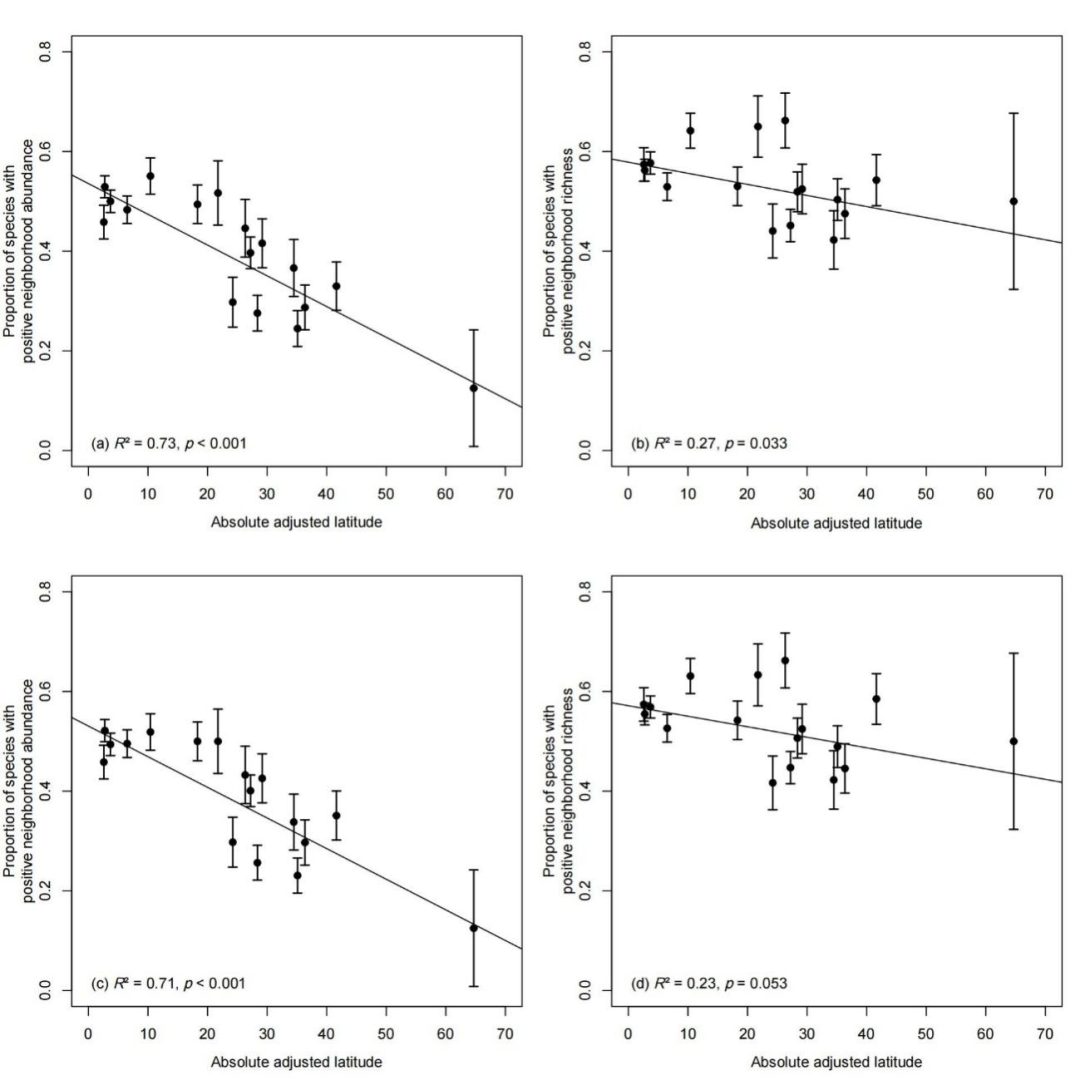
  来自全球29个单位的34名研究人员,采用来自全球5大洲(亚洲、北美洲、南美洲、大洋洲、非洲,南纬5°至北纬47°)的17个大型森林固定长期监测样地数据(包括了约270万棵树和5400多个物种),量化了相邻树种间负向(竞争性)和正向(促进性)相互作用相对重要性随纬度的变化趋势(图3)。研究发现,物种邻体竞争相互作用在大多数样地中占主导地位。靠近赤道,物种邻体竞争和促进相对作用强度大致相等,且物种邻体竞争相互作用随纬度升高而增强(图4)。这种物种邻体相互作用的纬度变化模式在一定程度上与豆科树木、非丛枝菌根树木的存在紧密关联,并受到大径级树木存在(图5)和年平均气温变化的影响(图6)。

图3:4个典型样地物种多度与相对邻体多度和相对邻体丰富度之间的关系

图4:在全球17个森林大样地中,促进物种数量比例随纬度升高而降低。基于(a)物种多度和(b)物种丰富度,评估促进物种对邻体物种的相对影响。注:仅考虑个体数量大于50的物

图5:在排除5%和10%最大径级树木后,17个森林样地中促进物种数量比例与纬度之间的关系减弱。分别针对(图a、c)邻近物种丰度和(图b、d)物种丰富度计算了邻体促进作用物种的比例。(图a、b)排除了5%最大树木;(图c、d)排除了10%最大树木

图6:17个森林样地中具有促进作用(a)邻体物种多度和(b)邻体物种丰富度的物种比例随着年平均温度变化的关系


  这些研究结果首次在全球尺度上系统揭示了物种邻体相互作用对生物多样性的重要性:未被认识到的物种邻体促进作用随纬度升高而相对减少,以及物种邻体竞争作用随纬度升高而相对增加的现象,并表明全球升温可能会增强物种邻体促进作用,导致高纬度地区森林群落物种多样性增加。

该发现还提出了可在林业造林生产经营和生态修复工作中,增加邻体促进作用物种数量比例的观点,特别是对邻体有利的豆科树木为代表的树种,从而提高森林群落多样性、生产力和稳定性。

  论文使用了尖峰岭生态站建设的海南尖峰岭60公顷大样地数据,该样地是在海南热带雨林国家公园尖峰岭热带山地雨林原始林建立的面积60公顷(1000 m×600 m)的永久监测样地,有1500个20 m×20 m的样方,始建成于2012年,目前是海南热带雨林国家公园范围内面积最大的热带森林原始森林监测大样地,已经完成2次复查工作,共记录到439,676株存活的胸径≥1.0 cm的乔灌木植株,分属于62科155属290 种。该论文还使用了中国林科院高原所建设的云南普洱30公顷大样地数据,以及来源于广东省的4个大样地数据,包括:中山大学建设的广东省黑石顶省级自然保护区的50公顷大样地和车八岭国家级自然保护区的20公顷大样地、以及中国科学院华南植物园建设的鼎湖山20公顷大样地、广东南岭国家级自然保护区和广东省科学院动物研究所共同建设的南岭国家公园候选区20公顷大样地。还得到了中国科学院植物研究所古田山24公顷大样地、华东师范大学百山祖25公顷大样地和香港嘉道理农场暨植物园建设的TAI PO KAU的20公顷大样地,以及国际上其他8个大样地的支持。

  该论文是基于海南尖峰岭热带森林60公顷大样地等多年积累和开展持续国际合作研究的成果,得到了国家自然科学基金、以及中国林业科学研究院院所基本业务费专项资金等的共同资助。60公顷大样地建立之初也得到了中国林业科学研究院院所基本业务费专项资金、国家林业局林业公益性行业科研专项经费,以及科技部海南尖峰岭森林生态系统国家级生态定位观测研究站运行经费等的共同资助。

  相关论文信息:https://www.nature.com/articles/s41586-026-10349-2



版权所有:国家生态系统观测研究网络 京ICP备05002838号-58
Email: jff@cern.ac.cn TEL:020-87032619 技术支持:国家生态科学数据中心 • 中国科学院计算机网络信息中心